「競合サイトのアクセス数を知りたいけど、Similarwebの有料プランは高い…」 「データは取れても、グラフ化や資料にまとめる時間がない…」
こうした悩みを持つマーケターや事業企画の方は多いのではないでしょうか。
2026年1月、AIエージェント「Manus」がSimilarwebとのデータ連携を開始しました。この連携を使えば、自然言語で質問するだけで競合サイトのトラフィックデータを取得し、分析、さらにはスライドやダッシュボードの作成まで自動で行えます。
この記事では、Manus×Similarweb連携でできること、具体的な活用例、料金・クレジット消費、注意点までを解説します。
今なら限定クレジットコード「SYAI100U2」で追加1,000クレジットがもらえます(2026年2月28日まで)


Manusとは?
Manusは、複雑なタスクを自律的に実行できる汎用AIエージェントです。リサーチ、データ分析、資料作成、Webサイト構築など、幅広いタスクをプロンプト一つで処理できます。
今回紹介するSimilarweb連携は、Manusが持つ多くの機能の一つです。
Manus×Similarweb連携でできること
ManusのSimilarweb連携では、任意のWebサイトについて以下のデータを取得・分析できます。
取得できるデータ
| データ項目 | 内容 |
|---|---|
| 総訪問数 | 月間の訪問数 |
| ユニーク訪問者数 | 重複を除いた訪問者数 |
| 直帰率 | 1ページだけ見て離脱した割合 |
| 平均滞在時間 | サイトに滞在した時間 |
| ページ/訪問 | 1訪問あたりの閲覧ページ数 |
| 地域別トラフィック | 国・地域ごとの内訳 |
| 流入チャネル | 検索、ダイレクト、SNS、リファラルなどの内訳 |
| デバイス分布 | PC・モバイルの比率 |
最大12ヶ月分の履歴データにアクセスできる点が特徴です。

👉 Manus×Similarweb連携の公式ページはこちら
使い方は「聞くだけ」
設定やAPIキーの管理は不要です。Manusに自然言語で質問するだけで、データ取得から分析、グラフ作成まで自動で行ってくれます。
トラフィック分析に関する質問をすると、Manusが自動でSimilarweb連携を判断し、以下のようにデータソースとして「Similarweb」が表示されます。

総訪問数、グローバルランク、国別トラフィック、直帰率、ユニーク訪問数、マーケティングチャネル別データなどが自動で取得されていることがわかります。
プロンプト例:
- 「note.comの過去6ヶ月間の月間トラフィック推移を表示して」
- 「openai.comとgemini.google.comのトラフィックを比較して」
- 「YouTubeの国別トラフィック上位5か国を分析して」
分析結果はスライドやダッシュボードに自動変換できる
Manus×Similarweb連携の大きな強みは、データ取得で終わらない点です。取得したデータをもとに、プレゼン用のスライド資料やインタラクティブなダッシュボードまで自動生成できます。
スライド資料の自動生成
「分析結果をスライド資料にまとめて」と追加で指示するだけで、以下のようなプレゼン資料が自動生成されます。




デザインも整っており、そのまま社内共有やクライアント報告に使えるクオリティです。競合分析のデータを取得して、そのまま提案資料にできるのは工数削減に直結します。
👉 実際に生成されたスライド資料「OpenAI vs Gemini: ウェブトラフィック比較」を見る
ダッシュボードの自動生成
「ダッシュボード形式で可視化して」と指示すると、インタラクティブなWebダッシュボードが生成されます。

タブで各サイトを切り替えながら、トラフィック総量やチャネル別流入を確認できます。四半期ごとの定点観測レポートとしても活用できそうです。
👉 実際に生成された「マーケティングチャネル分析」ダッシュボードを見る
アウトプット形式まとめ
| 形式 | 用途 |
|---|---|
| グラフ・チャート | 棒グラフ、円グラフ、折れ線グラフなど |
| 比較表 | 複数サイトの指標を一覧化 |
| スライド資料 | プレゼン用のPPTX/PDF |
| ダッシュボード | インタラクティブなWebダッシュボード |
「データを取って終わり」ではなく、そのまま使える形まで自動化できるのがManusの強みです。
Manus×Similarweb連携が向いている場面
Manus×Similarweb連携は、以下のようなシーンで活用できます。
向いているユースケース
| シーン | 具体例 |
|---|---|
| 競合分析 | 自社サイトと競合3社の流入チャネルを比較したい |
| 市場調査 | 業界上位サイトのトラフィック規模を把握したい |
| 提案資料作成 | クライアントに競合データを見せたい |
| 定点観測 | 四半期ごとに競合の動向をチェックしたい |
| 仮説検証 | 「あのサイトはSNSに強そう」を数字で確認したい |
向いていないケース
- リアルタイムのデータが必要(月次データのみ)
- 日次・週次の細かい分析が必要
- 特定の国だけに絞った詳細分析が必要
これらが必要な場合は、Similarwebの有料プランを直接契約する方が適しています。
競合サイトを比較する
複数サイトのトラフィックや流入構造を並べて比較できます。
OpenAI vs Gemini:AI業界の競争を可視化
「過去3か月間のopenai.comとgemini.google.comのトラフィック規模と流入源を比較して」と指示した結果です。

| 指標 | OpenAI | Gemini | 比較 |
|---|---|---|---|
| 3ヶ月合計訪問数 | 4.68億 | 30.26億 | Geminiが6.5倍 |
| 3ヶ月成長率 | -39.57% | +53.62% | 大きな差 |
| 検索流入 | 55.79% | 18.20% | OpenAIが検索依存 |
| ダイレクト流入 | 34.45% | 76.33% | Geminiがダイレクト中心 |


Geminiが3ヶ月で+53%成長している一方、OpenAIは-40%。流入源を見ると、OpenAIは検索経由が半数以上を占めるのに対し、GeminiはGoogleエコシステムからのダイレクト流入が76%と、プラットフォーム戦略の違いが数字に表れています。
スライド資料も自動生成できる
この分析結果をもとに「スライド資料にまとめて」と追加で指示すると、以下のようなプレゼン資料が自動生成されました。
デザインも整っており、そのまま社内共有やクライアント報告に使えるクオリティです。




デザインも整っており、そのまま社内共有やクライアント報告に使えるクオリティです。競合分析のデータを取得して、そのまま提案資料にできるのは工数削減に直結します。
👉 実際に生成されたスライド資料「OpenAI vs Gemini: ウェブトラフィック比較」を見る
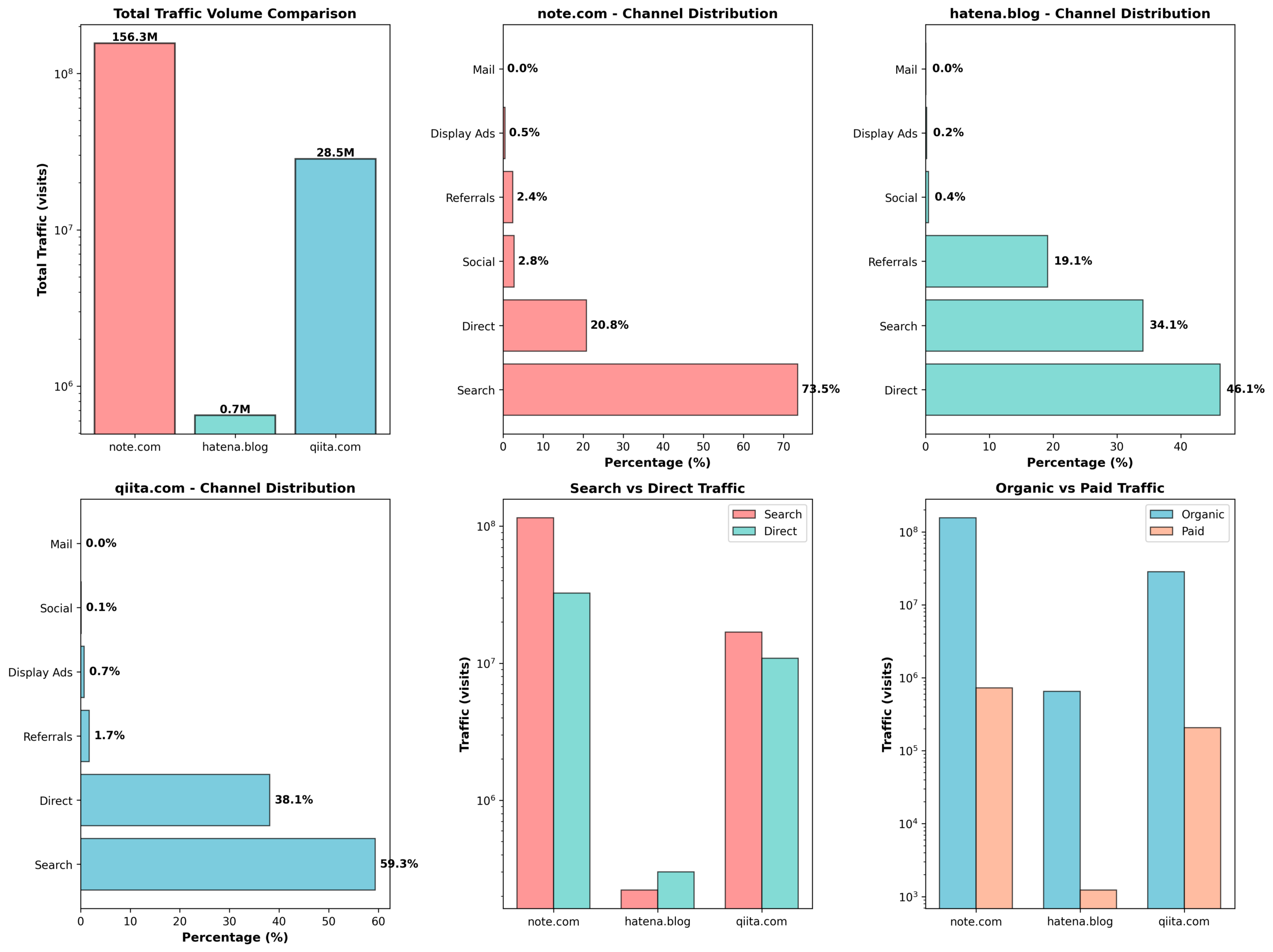
note vs はてな vs Qiita:国内プラットフォーム3社比較
「note.com、hatena.blog、qiita.comの過去3か月間のマーケティングチャネル戦略と流入構造を比較分析して」と指示しました。

| プラットフォーム | 総トラフィック | 検索 | ダイレクト | リファラル |
|---|---|---|---|---|
| note.com | 156.3M | 73.5% | 20.8% | 2.4% |
| qiita.com | 28.5M | 59.3% | 38.1% | 1.7% |
| hatena.blog | 0.7M | 34.1% | 46.1% | 19.1% |


noteはトラフィック量で圧倒的ですが、流入構造に各プラットフォームの特性が表れています。
- note:検索が73.5%を占める「SEO特化型」
- Qiita:検索とダイレクトのバランス型(エンジニアが日常的に訪問)
- はてな:ダイレクト46%+リファラル19%で「コミュニティ型」
ダッシュボードでインタラクティブに可視化
さらに「この分析結果をダッシュボード形式で可視化して」と指示するだけで、以下のようなインタラクティブなダッシュボードが生成されました。

タブで各プラットフォームを切り替えながら、トラフィック総量やチャネル別流入を確認できます。定点観測用のレポートとしても活用できそうです。
👉 実際に生成された「マーケティングチャネル分析」ダッシュボードを見る
流入チャネルを分析する
特定サイトの流入元を詳しく分析できます。
noteの検索 vs SNS流入
「note.comの検索流入とSNS流入の割合を比較して」と指示しました。

| 流入源 | 訪問数 | 割合 |
|---|---|---|
| 検索 | 1.15億 | 73.5% |
| ダイレクト | 0.33億 | 20.8% |
| SNS | 430万 | 2.8% |


検索流入がSNS流入の約27倍。noteがSEOに強いと言われる理由が数字で裏付けられました。
Manusは追加で「noteは生成AIからの流入も多く、検索流入から予測される期待値の4.2倍の生成AIトラフィックを獲得している」という分析も出力してくれました。データだけでなく、関連情報を調査して深掘りしてくれる点がAIエージェントならではの価値です。
NewsPicksのPC vs モバイル
NewsPicksの分析では、以下のように段階的に深掘りしました。
- 「過去1年間のnewspicks.comのユニークビジター数の変化を表示して」
- 「過去3か月間のnewspicks.comのマーケティングチャネル内訳を表示して」
- 「過去1か月間におけるnewspicks.comのデバイス別トラフィック内訳(PC、モバイル、タブレット)を表示して」
このように追加の指示を重ねることで、より詳細な分析ができます。



デバイス別訪問数(2025年12月):
- モバイル:137万訪問(56.4%)
- PC:106万訪問(43.6%)
デバイスによって流入チャネルの構成が大きく異なる点が興味深い結果でした。
| チャネル | PC | モバイル |
|---|---|---|
| ダイレクト | 53.9% | 44.3% |
| 検索 | 37.5% | 36.6% |
| ソーシャル | 3.2% | 14.3% |

モバイルユーザーはソーシャル経由が14.3%と、PCの4倍以上。SNS施策はモバイルユーザーに効いていることがわかります。
国・地域別に分析したいとき
グローバル展開しているサービスは、どの国で強いのか。地域別のトラフィックやエンゲージメントの違いを分析した事例を紹介します。
YouTubeの国別トラフィック
「過去1か月間のyoutube.comの国別トラフィック内訳を上位5か国に絞って表示して」と指示しました。

| 国 | シェア | ページ/訪問 | 平均滞在時間 |
|---|---|---|---|
| アメリカ | 20.45% | 11.5 | 19分25秒 |
| インド | 6.27% | 13.1 | 17分0秒 |
| ブラジル | 4.69% | 13.0 | 20分56秒 |
| 日本 | 4.67% | 17.6 | 25分17秒 |
| ドイツ | 3.52% | 11.9 | 18分30秒 |
トラフィックシェアでは日本は4位ですが、エンゲージメント(ページ/訪問、滞在時間)では1位という結果に。

Manusは「なぜ日本のエンゲージメントが高いのか」を自動で深掘りし、長尺動画への親和性、テレビからの移行、教育コンテンツ需要の高さなどを要因として挙げてくれました。
SpotifyのAPAC地域分析
「spotify.comのアジア太平洋地域でのトラフィック分布を表示して」と指示しました。

アジア太平洋地域は全体の34.3%を占め、国別では以下の結果に。
| 国 | シェア | 平均滞在時間 |
|---|---|---|
| インド | 3.55% | 142.9秒 |
| フィリピン | 2.62% | 177.0秒 |
| インドネシア | 2.59% | 197.2秒 |
| オーストラリア | 1.56% | 121.0秒 |
| 日本 | 1.52% | 186.5秒 |

インドネシアと日本は訪問数は少ないものの、滞在時間が長い「質の高いユーザー」が多いことがわかります。
トレンドを分析する
競合は成長しているのか、停滞しているのか。最大12ヶ月分の履歴データで、中長期のトレンドを把握できます。
Manus自身の12ヶ月推移
「過去12か月間のmanus.imのトラフィック推移を月ごとに表示して、成長パターンを分析して」と指示しました。

2025年3月〜12月の10ヶ月間で以下のトレンドが見えました。
- 最大:1,376万訪問(2025年8月)
- 最小:1,069万訪問(2025年4月)
- 平均:1,245万訪問

Manusは成長パターンを3フェーズに分けて分析してくれました。
- 初期調整期(3〜4月):-10.1%の減少
- 急速成長期(5〜8月):4ヶ月で+15.8%の累積成長
- 調整・安定期(9〜12月):一時減少後、回復傾向
12ヶ月の履歴データがあることで、こうした中長期のトレンド分析が可能になります。
Manusの料金プランとクレジット消費の目安
Manus×Similarweb連携はProプラン向けの機能で、分析ごとにクレジットを消費します。
Manusの料金プラン

| プラン | 月額(月払い) | 月額(年払い) | 月間クレジット | 毎日追加クレジット |
|---|---|---|---|---|
| Free | 無料 | – | – | 300/日 |
| Pro | $20 | $17 | 4,000 | +300/日 |
| Pro(カスタマイズ) | $40〜 | $34〜 | 8,000〜 | +300/日 |
| Pro | $200 | $167 | 40,000 | +300/日 |
※2026年1月時点。カスタマイズ可能なプランはクレジット数に応じて価格が変動します。年払いは17%お得です。
有料プランは月間クレジットに加えて、毎日300クレジットがリフレッシュされます。月間クレジットを使い切っても、翌日にはまた300クレジット分のタスクを実行できる仕組みです。
クレジット消費の実測データ
実際にManusで検証した際の消費量を公開します。
| 分析内容 | 消費クレジット |
|---|---|
| Spotify APAC地域分析 | 1,713 |
| YouTube 国別トラフィック上位5か国 | 345 |
| note vs はてな vs Qiita 3社比較 | 321 |
| OpenAI vs Gemini 競合比較 | 237 |
| note.com 検索 vs SNS流入比較 | 125 |
| Manus連携機能の概要確認 | 107 |
| Manus自身の12ヶ月推移 | 69 |
| 合計 | 約2,900 |
コストの傾向
- 地域フィルタは高コスト:APAC地域分析は1,713クレジットと突出
- シンプルな時系列分析は低コスト:12ヶ月推移は69クレジット
- 競合比較は中程度:2〜3サイト比較で200〜350クレジット
- 1サイトの流入分析:100〜150クレジット程度
コストを抑えるコツ
- まずは単一サイトのシンプルな分析から試す
- 地域を絞った分析は必要なときだけ使う
- 複数サイト比較は一度にまとめて指示する
Manusのおすすめの始め方
無料プランでもWide Researchや定期タスクは利用可能です。ただし1日300クレジットと限りがあるため、機能のテストや検証程度の利用になります。
本格的に試したい場合は、カスタマイズ可能なプラン($40〜/月)の7日間無料トライアルがおすすめです。無料トライアル中に使い勝手を確認してから、課金を検討できます。
【期間限定】クレジットコードで+1,000クレジット
今なら限定クレジットコード「SYAI100U2」を使うと、追加で1,000クレジットがもらえます。初回特典と合わせて2,000クレジットからスタートできます。
※2026年2月28日(土)23時59分まで有効
また、Manusの概要・登録手順・料金プランの詳細はManusの使い方・始め方ガイドで解説しています。
Manus×Similarweb連携の注意点
Manus×Similarweb連携を使う前に知っておきたい制約があります。
月次データのみ
取得できるのは月次データのみです。週次・日次の細かいデータは取得できません。
特定の国を指定したクエリはできない
「日本のトラフィックだけを見たい」といった特定国の指定はできません。取得できるのは、世界全体(WW)、米国、上位10地域までです。
データはSimilarwebの推計値
取得できるデータはSimilarwebが独自の方法論で推計したものであり、各サイトの実際の一次データではありません。傾向を把握する目安として使うのが適切です。
Proプランが必要
Similarweb連携はManus Proユーザー向けの機能です。無料プランでは利用できません。
クレジット消費が多い場合は事前に確認が表示される
地域フィルタなどクレジット消費が大きくなるリクエストでは、実行前に「このリクエストでは〇〇クレジットを消費します」という確認が表示されます。

勝手に大量のクレジットが消費されることはないので、安心して試せます。
まとめ
Manus×Similarweb連携は、競合サイトのトラフィックデータを自然言語で取得し、分析から資料作成まで自動化できる機能です。
良かった点:
- 設定不要で即座に使える
- データ取得だけでなく、グラフ・スライド・ダッシュボードまで自動生成
- 12ヶ月分の履歴データにアクセスできる
- 複数サイトの比較分析がプロンプト一発でできる
注意点:
- 月次データのみ(週次・日次は不可)
- 地域フィルタ分析はクレジット消費が多い
- Similarwebの推計値であり、実際の数値ではない
競合分析や市場調査の工数を減らしたい方は、まず1サイトの分析から試してみてください。




